数学学科知识点材料 | 三角函数

2023-01-12

弧度制


同角三角函数的关系式


三角函数特殊值


正弦、余弦的诱导公式


和角和差角公式


二倍角公式


辅助角公式


三角函数的周期


三角函数图像

变换的两种方法

(w > 0 )


三角函数性质


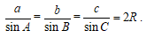
正弦定理



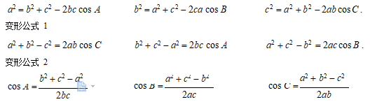
余弦定理



高宏免费提供以下算分工具
帮助各位考生明确目标分数
知己知彼,才能百战百胜

↓↓↓




高宏开设独立校考班

校考生个性化教学

拒绝插班烦恼,圆梦不费力

↓↓↓

高宏教育祝各位考生金榜题名

分享