首页
福州校区
关于我们
高宏师资
高宏风采
新闻资讯
联系我们
高考复读
高三暑期集训
高三全日制
艺考文补
高宏风采
旗山校区环境
万达校区环境
高宏动态
政策资讯
校考冲刺
体考文补
400-085-9996
文章详情
数学学科知识点材料 | 椭圆、双曲线、抛物线的图形、定义、标准方程、几何性质
2023-01-12
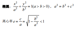
椭圆
椭圆的标准方程和几何性质
焦点三角形
双曲线
双曲线的标准方程和几何性质
双曲线的方程与渐近线方程的关系
抛物线
抛物线
抛物线的标准方程和几何性质
﹀
﹀
﹀
高宏
免费提供
以下
算分工具
帮助各位考生
明确目标分数
知己知彼,才能百战百胜
↓↓↓
高宏开设
独立校考班
校考生
个性化教学
拒绝插班烦恼,圆梦不费力
↓↓↓
高宏教育祝各位考生金榜题名
分享
发表评论
登录评论
匿名评论
提交
提交