数学学科知识点材料 | 立体几何

2023-01-12

线性平行的

判定定理和性质定理


面面平行的

判定定理和性质定理


直线与平面垂直的

判定定理与性质定理


平面与平面垂直的

判定定理与性质定理


证明方法


空间向量


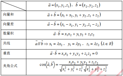
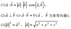
知识点 1.两个向量的数量积


知识点 2.向量的坐标运算


知识点 3.空间直角坐标系以及空间向量的坐标运算
(1)空间两点间的距离公式



知识点 4.利用空间向量证明平行问题
(1)直线的方向向量与平面的法向量的确定

(2)用向量证明空间中的平行关系


知识点 5.利用空间向量证明垂直问题
(1)用向量证明空间中的垂直关系


知识点 6.异面直线所成的角
(1)两条异面直线所成的角


知识点 7.直线与平面所成角

(1)直线和平面所成角的求法



知识点 8.二面角
(1)求二面角的大小


高宏免费提供以下算分工具
帮助各位考生明确目标分数
知己知彼,才能百战百胜

↓↓↓




高宏开设独立校考班

校考生个性化教学

拒绝插班烦恼,圆梦不费力

↓↓↓

高宏教育祝各位考生金榜题名

分享